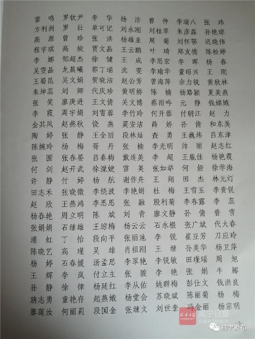
4月21日,咸宁市召开市五届人大常委会第二十三次会议,会上表决通过了市政府关于提请授予援咸医疗队502人“咸宁市荣誉市民”称号的议案。据悉,援咸医疗队共计502人,其中云南医疗队498人,辽宁医疗队4人,均非咸宁籍人士。在咸宁市疫情防控最吃紧的时候,不畏艰险,逆行出征,千里驰援,奔赴咸宁“战疫”一线。
在近两个月的时间里,前后治愈了821名患者,挽救了近千个家庭,以生命践行医者仁心,以担当彰显大爱情怀,为咸宁成为湖北省首个“四清零”的市州作出了重大贡献。




微信里点“发现”,扫一下
二维码便可将本文分享至朋友圈。
问小明 聊天、提问、推荐
AI总结 记录阅读笔记
返回顶部
2020-04-22 16:04:50 来源:央视网
大 中 小
4月21日,咸宁市召开市五届人大常委会第二十三次会议,会上表决通过了市政府关于提请授予援咸医疗队502人“咸宁市荣誉市民”称号的议案。据悉,援咸医疗队共计502人,其中云南医疗队498人,辽宁医疗队4人,均非咸宁籍人士。在咸宁市疫情防控最吃紧的时候,不畏艰险,逆行出征,千里驰援,奔赴咸宁“战疫”一线。
在近两个月的时间里,前后治愈了821名患者,挽救了近千个家庭,以生命践行医者仁心,以担当彰显大爱情怀,为咸宁成为湖北省首个“四清零”的市州作出了重大贡献。




编辑: 刁凤云 责任编辑: 劳学丽
广告热线:(0871)65364045 新闻热线:(0871)65390101
24小时网站违法和不良信息举报电话:0871-65390101 举报邮箱:2779967946@qq.com
涉未成年人举报电话:0871-65390101 举报邮箱:2779967946@qq.com
©2008-2026 6686体育版权所有